臭氧水清洗蔬菜可延長保質期嗎
下面實驗是用臭氧水清晰小白菜后,檢測葉綠素變化,進而影響保質期的實驗。
杭白菜又名小白菜,屬于十字花科大白菜的變種,在江浙滬地區種植面積較為廣泛[1],以其豐富的營養價值和清香可口的口感贏得了大眾的喜愛。杭白菜作為極好的VC和錳元素的來源,合理生食在一定程度上能起到抗氧化、增強免疫力、預防癌癥的功效[2],因此受到了越來越多的關注。有研究[3]表明蔬菜采后清洗是去除農藥殘留、清潔蔬菜很為簡潔有效的方式,其中以臭氧水處理杭白菜保鮮效果很為顯著。隨著人們生活節奏的加快和對食品營養攝入要求的提高,生食蔬菜的方式已越來越受到現代人的認可和追捧,鮮切蔬菜更是以其便捷、安全的優勢被廣泛接受,逐步實現大規模商品化[4],但在商品化鮮切蔬菜的物流貯藏和實際銷售中,蔬菜品質會受到環境影響,因此,通過貨架期模型預測鮮切蔬菜流通中品質變化具有一定的實用價值。
Arrhenius方程是一種常用的食品貨架期預測模型[5-7]。張利平等[8]利用Arrhenius方程結合動力學通過色差指標預測了雞毛菜的貨架期,且誤差小于0.6 d,為監控雞毛菜的品質變化提供了有力的依據;謝晶等[9]也通過測定抗壞血酸、葉綠素、色差以及感官評分等多個指標結合Arrhenius方程進行動力學分析,得到以時間、溫度和不同品質指標為變量的上海青貨架期動力學模型方程,使得感官壽命與預測值誤差小于0.3 d,為上海青的貯藏及流通提供了科學依據。大量研究[10-15]表明Arrhenius方程能有效地預測蔬菜貨架期,因此本試驗擬通過對臭氧水處理后貯藏在不同溫度下的鮮切杭白菜進行菌落總數、葉綠素、抗壞血酸含量、感官評分等指標測定,結合Arrhenius方程建立貨架期預測模型,并對其進行驗證,以期能為鮮切杭白菜在貯藏運輸過程中品質的變化進行實時監控,從而避免不必要的損耗和浪費。
1.1 材料與儀器
杭白菜:購于上海市浦東新區古棕路菜市場,選用色澤鮮亮、新鮮飽滿、大小勻稱且無明顯缺陷的杭白菜;
2,6-二氯靛酚鹽、丙酮、抗壞血酸、碳酸氫鈉、碳酸鈣、草酸:分析純,國藥集團化學試劑有限公司;
PCA平板計數培養基:青島海博生物技術有限公司;
低溫恒溫培養箱:MIR-554-PC型,日本三洋電機株式會社;
超凈工作臺:VS-1300L-U型,蘇凈集團安泰有限公司;
電熱鼓風干燥箱:DHG-9053A型,上海一恒科學儀器有限公司;
紫外可見分光光度計:WFZ UV-2100型,上海龍尼柯儀器有限公司;
全自動壓力蒸汽滅菌器:YXQ-LS-30SH型,上海博訊實業有限公司。
1.2 試驗方法
1.2.1 試驗前處理 挑選光鮮飽滿、大小均勻、無蟲害無缺損的杭白菜浸泡于1.8 mg/L的臭氧水中清洗5 min[3],清洗后置于通風陰涼的試驗臺快速瀝干,隨即用經消毒的菜刀對瀝干后的杭白菜進行鮮切處理,將其切成5~8 cm適宜正常食用的小段,模仿售賣狀態使用敞口塑料盒包裝100 g樣品并用保鮮膜封口,分別貯藏在0,5,10,15,20 ℃的恒溫箱中,每組大約準備8~10盒,以備后續指標測定。
每次指標測定時,每個溫度各使用一盒,均檢測樣品的菌落總數、葉綠素含量、抗壞血酸含量和感官品質評分等,0,5 ℃樣品每3 d檢測一次,10 ℃樣品每2 d檢測一次,15,20 ℃樣品每天都進行測定,每個指標均進行3次平行試驗,計算平均值及標準差。
1.2.2 測定指標及方法
(1) 菌落總數測定:參照GB 4789.2—2010,使用PCA平板計數法進行測定。
(2) 葉綠素含量測定:參照文獻[16],用丙酮提取,通過測定吸光值計算。
(3) 抗壞血酸含量測定:參照GB 6195—1986,使用2,6-二氯酚靛酚滴定法測定。
(4) 感官品質評定:參考文獻[17~18],挑選5~6名具有專業感官評定素質的評定員,每次試驗從鮮切杭白菜的色澤、氣味、質地等多個方面進行綜合評定,很后取平均值。
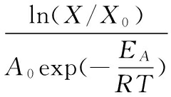
(5) 貨架期預測模型的建立:蔬菜品質變化常用一級動力學模型進行預測模擬[19],Arrhenius方程能有效呈現反應速率k和絕對溫度T之間的函數關系:
k=A0exp(-
),
(1)
式中:
k——化學反應速率;
A0——指前因子,其值為活化能為0時的化學反應速率;
R——氣體常數,其數值為8.314 51 J/(mol·K);
T——絕對溫度,K;
EA——活化能,J/mol。
一級動力學模型:
lnX=lnX0+kt,
(2)
式中:
X——貯藏到第t天時指標數值;
X0——指標初始值;
T——貯藏時間,d。
結合式(1)、(2)即可得到以貨架期tsl,指標數值X和溫度T為變量的預測模型方程:
tsl=
,
(3)
2.1 貯藏溫度對鮮切杭白菜菌落總數的影響
菌落總數能有效反映蔬菜在貯藏過程中的新鮮程度,直接影響到其能否食用,是評定樣品是否腐敗的重要因素。有研究[20]稱蔬菜菌落總數達到6 lg CFU/g時,該蔬菜即到達可食臨界點,當超過該臨界值則表明蔬菜處于腐敗狀態,失去正常食用價值。由圖1可知,在貯藏過程中,各溫度組菌落總數均呈現增長趨勢,可能是鮮切操作對組織結構造成了破壞,使得細胞內汁液流出,為細菌生長提供了營養物質和有利條件[21]。貯藏溫度越低安全食用期越長,如20 ℃樣品在第3天時便達到6.1 lg CFU/g,而0 ℃下菌落總數增速很緩,在貯藏第12天才到達5.88 lg CFU/g,這是因為溫度較低影響到微生物新陳代謝,從而延緩了微生物的生長[22],與王超等[23]使用不同溫度貯藏菠菜得到的結果相同,充分說明低溫能有效延緩細菌的滋生。
2.2 貯藏溫度對鮮切杭白菜感官品質的影響
感官評價是直接通過外表觀察實物的色澤、氣味、質地等指標來評判樣品的品質變化,是很為直觀地反映蔬菜價值的重要指標。由圖2可知,在20 ℃貯藏條件下,感官評分下降得非常迅速,在第3天已經出現腐敗變質的現象,并伴隨有組織液流出,基本失去了食用價值;15 ℃貯藏條件下的鮮切杭白菜在第4天左右也出現了部分褐變、腐敗的狀況;0,5 ℃條件下貯藏的樣品感官評分較好,在第12天還處在6分以上,只有部分的萎蔫和黃化,依舊處于消費者可接受范圍。

圖1 貯藏溫度對鮮切杭白菜菌落總數的影響
Figure 1 Effect of different temperatures storage on total viable count of fresh cut Hang cabbage

圖2 貯藏溫度對鮮切杭白菜感官品質的影響
Figure 2 Effect of different temperatures storage on sensory quality of fresh cut Hang cabbage
2.3 貯藏溫度對鮮切杭白菜VC含量的影響
VC是評定果蔬營養價值的一項重要指標。由圖3可知,鮮切杭白菜在不同溫度貯藏過程中,VC含量總體呈現減少趨勢,且溫度越高下降速度越快,其中20 ℃條件下貯藏,VC含量損失很為顯著,0,5 ℃條件下VC含量下降速率明顯緩慢且差異性顯著(P<0.05),貯藏到18 d時依舊含有15 mg/100 g左右,說明低溫能有效延緩VC含量的降低。

圖3 貯藏溫度對鮮切杭白菜VC含量的影響
Figure 3 Effect of different temperatures storage on Vitamin C content of fresh cut Hang cabbage
2.4 貯藏溫度對鮮切杭白菜葉綠素含量的影響
葉綠素含量能直觀反映在貯藏過程中蔬菜的新鮮程度,直接影響到蔬菜的黃化程度,因此是蔬菜貯藏過程中重要的測定指標。由圖4可知,在不同溫度條件下貯藏的鮮切杭白菜,葉綠素含量總體呈現下降趨勢,其中以20,15 ℃樣品下降速度很快,在20 ℃條件下貯藏第3天葉綠素含量便從初始的0.85 mg/g下降至0.53 mg/g,而0,5 ℃在貯藏至第9天仍保持在0.6 mg/g以上,低溫有效地延緩了葉綠素含量的降低。

圖4 貯藏溫度對鮮切杭白菜葉綠素含量的影響
Figure 4 Effect of different temperatures storage on chlorophyll content of fresh cut Hang cabbage
2.5 貨架期模型的建立
根據試驗設計,利用一級動力學模型結合Arrhenius方程,使用Origin軟件分別對0,5,15,20 ℃貯藏條件下鮮切杭白菜的菌落總數、VC含量、葉綠素含量指標進行線性回歸擬合,得到不同指標在不同貯藏溫度下的回歸方程,見表1。
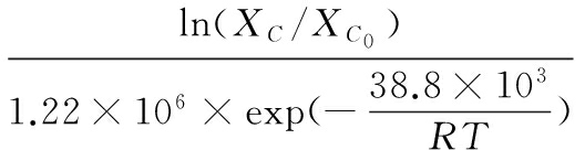
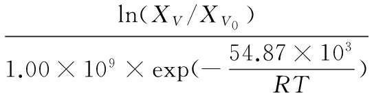
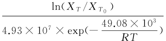
表1中相關系數R2越趨近于1,表示擬合精度越高,各溫度指標相關系數均大于0.9,表明數據可用于擬合。通過計算得到鮮切杭白菜的菌落總數、VC含量及葉綠素含量的活化能(EA)分別為49.08,54.87,38.80 kJ/mol,指前因子A0分別為4.93×107,1.00×109,1.22×106,代回式(3)可得:
菌落總數貨架期預測模型:
tslT=
。
(4)
VC含量貨架期預測模型:
tslV=
。
(5)
葉綠素含量貨架期預測模型:
tslC=
。
(6)
式中:
tslT、tslV、tslC——鮮切杭白菜菌落總數、VC含量、葉綠素含量的預測貨架期;
XT、XV、XC——貯藏第t天時菌落總數、VC含量、葉綠素含量的測定值;
XT0、XV0、XC0——菌落總數、VC含量、葉綠素含量的初始值。
根據以上模型即可計算出0~20 ℃貯藏條件下,經臭氧水處理后鮮切杭白菜的預測貨架期,也可以通過貯藏溫度和以貯藏時間推測出經歷該流通歷程后鮮切杭白菜的品質狀況。
2.6 貨架期模型的驗證與評價
選取樣品在10 ℃條件下的貨架期實測值,驗證預測模型的準確性。由于國標中沒有規定蔬菜VC及葉綠素含量腐敗標準,因此本試驗采用感官不可接受值所得日期作為VC及葉綠素含量的貨架期終止日期,菌落總數以6 lg CFU/g為可食用標準,樣品菌落總數超過允許范圍即視為貨架期終止,貨架期實測值與預測模型求得的預測值見表2。
表1鮮切杭白菜不同溫度下各指標回歸方程
Table 1 The regression equation of each indicator at different temperatures of fresh cut Hang cabbage

表2 10 ℃貯藏條件下鮮切杭白菜貨架期預測誤差
Table 2 The shelf life prediction error of fresh cut Hang cabbage at 10 ℃

由表2可知,通過動力學模型計算得出不同指標的貨架期和實際貨架期相對誤差均在10%以內,表明該預測模型能較好地反映臭氧水處理的鮮切杭白菜菌落總數、VC含量和葉綠素含量等指標在0~20 ℃的變化趨勢。其中以菌落總數指標建立的貨架期模型,預測值和實測值誤差很小,以VC含量指標所建立的動力學貨架期模型,預測值與實測值相差較大,可能是GB/T 29605—2013中沒有明確規定標準導致只能通過感官結果來確定實際貨架期,從而造成了誤差。
本試驗以1.8 mg/L臭氧水清洗5 min的鮮切杭白菜為試驗材料,分別在0,5,10,15,20 ℃條件下貯藏,隨后通過對樣品理化指標的測定和分析,建立動力學預測模型。結果表明:貯藏在0~20 ℃不同溫度下鮮切杭白菜的菌落總數呈現上升趨勢,VC和葉綠素含量總體呈現下降趨勢,且隨著溫度的升高,上升或下降的速率越快,此變化趨勢符合一級動力學模型。結合Arrhenius方程對不同指標的反應速率和溫度進行線性擬合得到的貨架期預測模型方程相關系數R2均大于0.9,擬合精度較高,可以相對準確地進行貨架期預測。通過10 ℃下各指標的實測值和貨架期模型方程得出的預測值對比,相對誤差均在10%以下,其中以菌落總數為指標的預測模型很為準確。由此可得,該試驗所建立的貨架期預測模型能較準確地對在0~20 ℃條件下貯藏或流通的臭氧水處理后的鮮切杭白菜進行品質與貨架期的動態監測。
參考文獻
[1] 倪瑋怡. 上海市郊土壤—蔬菜系統中重金屬來源及貢獻研究[D]. 上海: 華東師范大學, 2016: 16-17.
[2] JOVABOVIC G D, KLAUS A S, NIKSIC M P. Antimicrobial activity of chitosan films with essential oils against listeria monocytogenes on cabbage[J]. Jundishapur Journal of Microbiology, 2016, 9(9): e34 804.
[3] 雷昊, 謝晶, 喬永祥, 等. 清洗殺菌方式對鮮切杭白菜保鮮效果的影響[J]. 食品與機械, 2016, 32(12): 105-107.
[4] 雷昊, 謝晶. 新鮮蔬菜采后清洗、包裝處理研究進展[J]. 食品與機械, 2016, 32(6): 215-219.
[5] JAFARI S M, GANJE M, DEHNAD D, et al. Arrhenius equation modeling for the shelf life prediction of tomato paste containing a natural preservative[J]. Journal of the Science of Food & Agriculture, 2017, DOI: 10.1002/jsfa.8404.
[6] 馬妍, 謝晶, 周然, 等. 暗紋東方鲀在不同凍藏溫度下品質變化的動力學研究[J]. 中國農業大學學報, 2012, 17(1): 138-142.
[7] NOURIAN F, RAMASWAMY H S, KUSHALAPPA A C. Kinetics of quality change associated with potatoes stored at different temperatures[J]. LWT-Food Science and Technology, 2003, 36(1): 49-65.
[8] 張利平, 謝晶, 何蓉, 等. 雞毛菜(Brassica rapa L.Chinensis Group.)的顏色變化動力學及兩種貨架期預測方法[J]. 食品工業科技, 2013, 34(16): 75-78.
[9] 謝晶, 張利平, 蘇輝, 等. 上海青蔬菜的品質變化動力學模型及貨架期預測[J]. 農業工程學報, 2013, 29(15): 271-278.
[10] 曾悅予. 超高壓處理泡椒貨架期預測模型的建立[D]. 成都: 四川農業大學, 2013: 44-46.
[11] 張利平, 謝晶. Arrhenius方程結合特征指標在蔬菜貨架期預測中的應用[J]. 食品與機械, 2012, 28(5): 163-168.
[12] 任珂, 屠康, 潘磊慶, 等. 青花菜貯藏期間顏色變化動力學模型的建立[J]. 農業工程學報, 2005, 21(8): 146-150.
[13] 孫婧, 李媚, 侯軍, 等. 不同溫濕度條件下青花菜失水率預測模型的建立[J]. 食品工業科技, 2011, 32(12): 69-71.
[14] GIANNAKOUROU M C, TAOUKIS P S. Kinetic modelling of Vitamin C loss in frozen green vegetables under variable storage conditions[J]. Food Chemistry, 2003, 83(1): 33-41.
[15] JUHASZ M, KITAHARA Y, TAKAHASHI S, et al. Thermal stability of vitamin C: Thermogravimetric analysis and use of total ion monitoring chromatograms[J]. J Pharm Biomed Anal, 2012, 59(3): 190-193.
[16] 曹建康, 姜微波, 趙玉梅. 果蔬采后生理生化試驗指導[M]. 北京: 中國輕工業出版社, 2007: 31.
[17] 林永艷, 謝晶, 朱軍偉, 等. 真空預冷對青菜貯藏品質的影響[J]. 食品工業科技, 2012, 33(21): 314-317.
[18] AGUERO M V, PONCE A G, MOREIRA M R, et al. Lettuce quality loss under conditions that favor the wilting phenomenon[J]. Postharvest Biology & Technology, 2011, 59(2): 124-131.
[19] 謝晶, 張利平, 高志立, 等. 雞毛菜的品質動力學分析及貨架期預測模型[J]. 食品科學, 2014, 35(10): 268-272.
[20] 張立奎. 鮮切生菜在貯藏期間的微生物生長模型[J]. 食品與發酵工業, 2004, 30(2): 49-49.
[21] ALLENDE A, LUO Y, MCEVOY J L, et al. Microbial and quality changes in minimally processed baby spinach leaves stored under super atmospheric oxygen and modified atmosphere conditions[J]. Postharvest Biology & Technology, 2004, 33(1): 51-59.
[22] 徐曉霞, 陳安均, 桑偉娜, 等. 不同溫度貯藏鮮切生菜腐敗細菌的分離及鑒定[J]. 食品與發酵工業, 2016, 42(1): 53-58.
[23] 王超, 劉斌, 鞏玉芬, 等. 鮮切菠菜在不同冷藏溫度下品質變化的動力模型[J]. 制冷學報, 2015, 36(6): 98-103.
LEI Hao1,2XIEJing1,2QIAOYong-xiang1,2
(1.CollegeofFoodScienceandTechnology,ShanghaiOceanUniversity,Shanghai201306,China; 2.QualitySupervision,InspectionandTestingCenterforColdStorageandRefrigerationEquipment,MinistryofAgriculture,Shanghai201306,China)
DOI:10.13652/j.issn.1003-5788.2017.08.027
基金項目:2015年度國家星火計劃項目(編號:2015GA680007);上海市綠葉菜產業體系建設資助項目
作者簡介:雷昊,男,上海海洋大學在讀碩士研究生。
通信作者:謝晶(1968—),女,上海海洋大學教授,博士。 E-mail:[email protected]
收稿日期:2017—05—17