臭氧氣氛熏蒸對果蔬農藥殘留的降解效果
中國統計年鑒2019 中指出,我國人均果蔬消費總量達148.2 kg,已超過糧食類人均消費的127.2 kg,果蔬類食物成為第一大消費食物。而我國作為果蔬生產和消費大國,果蔬農藥殘留狀況不容樂觀。
2018 年,中國食品藥品檢定研究院對蔬菜水果進行的監督抽查結果顯示,在抽查的2077 批次16 類蔬菜中,檢出不合格樣品68 批次,菠菜、芹菜、普通白菜的不合格原因主要是毒死蜱超標,韭菜的不合格原因主要是腐霉利超標[1];在抽查的1549 批次水果中,檢出不合格樣品39 批次,柑橘類水果的合格率偏低,不合格原因主要是丙溴磷、三唑磷等農藥殘留超標[2]。并且,農藥殘留超標也是影響我國農產品如茶葉、果蔬等出口至日本和歐盟等國的重要因素[3]。
臭氧分子是由三個氧原子構成,具有強氧化性,臭氧氣體的穩定性高于臭氧溶液,臭氧在20 ℃ 的水中溶解度為12.07 mg/L,在水中能與水分子作用產生羥基自由基,同樣具有很強的氧化性[4]。臭氧的氧化機理包括氧原子直接氧化和由臭氧分子自分解產生的羥基自由基驅動的間接氧化。直接氧化反應速率低于間接氧化反應速率;間接氧化反應能迅速發生鏈式反應[5],其中,羥基自由基能改變有機農藥分子結構,使農藥分子中的苯環打開、雙鍵和三鍵斷裂,進而被分解,還可以氧化硝基、氨基、甲氧基等化學基團。臭氧通過斷裂化學鍵和氧化功能基團兩種方式徹底改變農藥的分子結構,從而使農藥的性質發生改變,以達到解除農藥的毒性,降低農藥殘留含量的目的。農藥在臭氧作用下的分解產物多為酸類、醇類或胺類等小分子化合物,且多為水溶性物質。并且臭氧在降解為氧氣的過程中不會產生二次污染物[6],因此,利用臭氧降解果蔬農殘被認為是安全的有效的環保的處理技術[7]。
臭氧的利用方式按其形態不同可分為氣態或液態,兩種方式在去除果蔬農殘方面的效率與原理存在細微差別,本篇綜述將依據現有實驗成果闡明應用臭氧氣熏蒸法和臭氧水浸泡法對果蔬表面農藥殘留的去除效果,并分析影響作用效果的環境因素,如氣相溫度濕度、氣泡大小、水溫和pH。
臭氧氣氛熏蒸對果蔬農藥殘留的降解效果
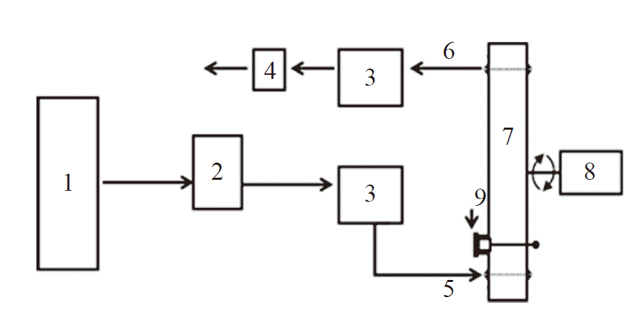
氣態臭氧通過熏蒸與果蔬表面充分接觸,很終達到去除果蔬表面農殘的目的,實驗室中常用的一種氣態臭氧處理受農藥污染果蔬的裝置如圖1 所示:

圖 1 實驗室用氣相臭氧處理系統
1. 氧氣瓶 2. 臭氧發生器3. 臭氧分析儀4. 剩余氣體消除裝置5. 臭氧入口7. 反應堆6. 臭氧出口8. 帶有搖動和旋轉機構的控制系統9. 供給和處理經過臭氧處理的植物材料
據國家統計局對我國果蔬種植規模的統計,葡萄的種植規模近十年來穩定上升,在2020 年達到1431.41 萬噸。葡萄在栽培過程中為避免一些真菌和病蟲的傷害,噴灑農藥是常見的防治措施,這就不可避免地帶來了農藥殘留的問題。現在常用臭氧氣氛熏蒸法降解新鮮葡萄表面殘留的農藥。有實驗團隊對幾種葡萄種植中常用農藥在冷藏條件下(2 ℃,相對濕度95%)分別在空氣和含有濃度為0.64 mg/m3的臭氧環境中貯藏3 周后的降解效果進行了對比實驗[9]。實驗結果顯示,在含有臭氧的空氣中貯藏3 周的葡萄上,嘧菌酯、丁啶酯、多菌靈、烯康唑、三唑醇和三氟嘧啶的殘留量分別下降了90.7%、63.4%、38.5%、80.2%、61.4% 和51.8%,降解率顯著高于在空氣中儲藏的葡萄上的農藥降解率,說明臭氧氣氛對葡萄上一些農藥殘留的降解效果較為顯著。
同時,其它幾種在葡萄種植中常見的農藥如環酰菌胺、嘧菌環胺、嘧霉胺、異菌脲和啶酰菌胺等常用于葡萄預防灰霉病等真菌類病害,然而它們對于臭氧作用的易感性不同,前三種農藥經歷臭氧作用后,含量均顯著下降,而異菌脲和啶酰菌胺的變化不明顯。圖2 所示是三種處理方式對新鮮葡萄上環酰菌胺、嘧菌環胺和嘧霉胺的降解效果。
三個實驗中環酰菌胺的降解率差別不大,另外兩種受實驗方案影響較大,并且這些短期作用的結果和葡萄長期儲存實驗中的結果呈現的趨勢是一致的,說明臭氧熏蒸可以顯著降低這三種農藥的殘留。對于新鮮葡萄而言,臭氧在較短的時間內降低其農藥殘留的同時且不影響其感官品質十分必要。
研究人員用2.0 和3.0 mg/L 臭氧氣體處理1 h,探究葡萄果肉和果皮上百菌清的去除率和對葡萄品質的影響,該實驗結果表明,兩種濃度的臭氧處理結果在統計學上有顯著差異,但濃度高的臭氧處理帶來更高去除率的同時,也會顯著影響葡萄的可滴定酸度、pH、可溶性固形物和色度,2.0 mg/L 的臭氧處理后則沒有顯著差異,所以該團隊認為采用2.0 mg/L 的臭氧處理是較為合適的選擇,同時還可以防止葡萄在儲存過程中變酸,從而在較長期的儲存中保存果實品質[13]。


臭氧氣氛熏蒸法在其他基質上對農藥殘留的降解實驗也呈現出良好的結果。實驗內容和結果如表1所示。

注:方法A:0.3 μL/L 臭氧的空氣中儲藏新鮮葡萄36 d,數據來自參考文獻[10];方法B:用1000 μL/L 臭氧熏蒸新鮮葡萄1 h,數據來自參考文獻[11];方法C:用(900±12)μL/L 的臭氧氣氛熏蒸新鮮葡萄2 h,數據來自參考文獻[12]。
綜合來看,低濃度的臭氧氣體可以降解一些臭氧敏感性的農藥,且臭氧的濃度增加可以提高農藥的降解率,但臭氧濃度不能過高,否則會有對果蔬品質造成影響的風險。需要注意的是,臭氧并不是對于所有農藥都可以起到顯著的降解作用,如啶酰菌胺和異菌脲,這兩種農藥在上述實驗條件下均未產生顯著的降解效果,這可能與農藥的結構有關。