日光溫室是我國北方特有的農業設施形式,因其造價較低且節約能源而得到了大面積的推廣應用[1],由于日光溫室相對封閉,常面臨溫濕度高、通風性較差等問題[2] ,使得病原微生物極易生存和繁殖,且土傳病害病原菌的抗逆性高,存活力強[3]溫室內作物連作生產,土壤中的植株殘體及根系分泌物為病原物提供了豐富的營養和寄生載體,導致土壤環境惡化,土傳病害嚴重4] ,對溫室土壤進行消毒具有重要意義。
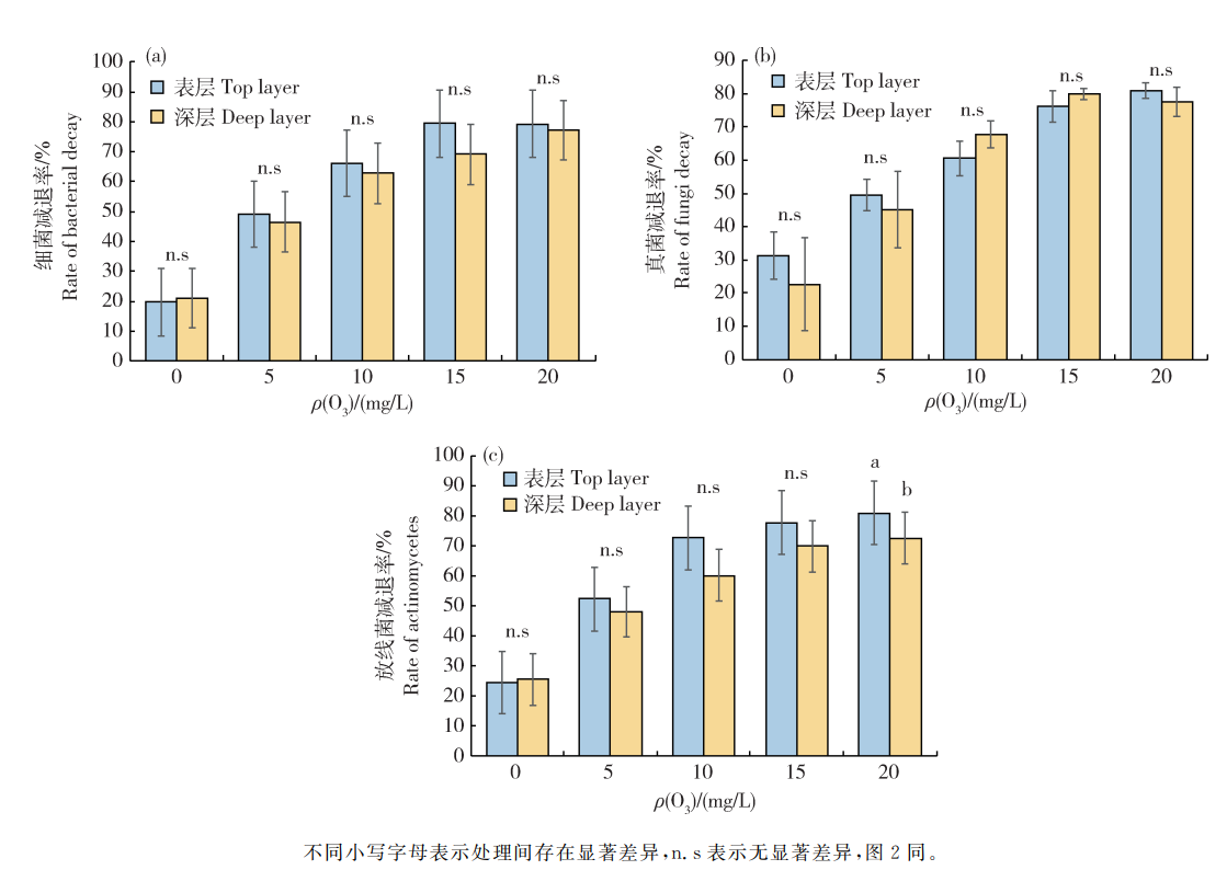
臭氧水對不同深度土壤微生物的消減效果
土壤表層致病微生物可接觸作物的根、莖和葉位較低的葉片,引發作物病害,而土壤深層致病微生物亦可侵染植物根系使其染病。本試驗分別取臭氧水處理后的0~5 cm表層土壤和15~20 cm深層土壤進行微生物計數。結果顯示臭氧水對表層土壤的細菌類微生物消減效果在數值.上略高于深層土壤,但不同質量濃度臭氧水對表層和深層土壤中細菌和真菌類微生物的消減效果差異均不顯著;放線菌的試驗結果與之類似,除p(O3)=20 mg/L處理組外,其他處理組表層放線菌消減率和深層土壤放線菌消減率不存在顯著差異(圖1)??芍?在本試驗條件下,臭氧水的土壤微生物消減效果至少可以到達黃瓜、番茄等常見溫室作物根系分布的15~20 cm土層。

圖1不同 質量濃度臭氧水對表層(0~5 cm)和深層(15~20 cm)土壤中細菌(a)、真菌(b)、放線菌(c)的消減效果
臭氧水濃度對土壤微生物的消減效果
高質量濃度臭氧水1次澆灌和低質量濃度臭氧水3次澆灌對土壤微生物消減效果見圖2。用p(O3)=20 mg/L的臭氧水澆灌1次,土壤中細菌、真菌和線蟲的消減率分別為20. 5%、39. 4%、27.0%,用p(O3)=5 mg/L的臭氧水間隔3 d澆灌1次,連續澆灌3次,土壤中細菌、真菌和線蟲的消減率分別為49. 1%、51.5%和59. 5%,效果明顯優于高濃度處理組。p(O3)=20 mg/L的臭氧水澆灌1次后,土壤中放線菌數量與原始放線菌數量差異不顯著,而用p(O3)=5 mg/L臭氧水澆灌3次,土壤放線菌消減率為52.5%,顯著高于高濃度處理組。
由此可知,在本試驗條件下,使用p(O3)=5 mg/L的臭氧水重復澆灌3次,可以達到優于單次使用p(O3)=20 mg/L臭氧水對土壤中微生物的殺滅效果。

圖2低濃度3次澆灌和高濃度1次澆灌土壤中微生物數量
臭氧水消毒對溫室土壤微生物群落的影響
多樣性指數分析結果顯示樣本Coverage指數均在99%以上(表5),表明測序結果能夠很好的代表樣本真實情況。表中數據為Species物種分類水平_上的觀測數據,可知,原始土壤、對照組土壤、處理組土壤測到細菌物種分別為812.814.815個。Sobs指數反應豐富度的實際觀測值,Shannon指數反映群落多樣性,ACE指數用于估計樣本的群落豐富度,可見原始土壤、對照組土壤和處理組土壤的群落多樣性和群落豐富度差異不大。

土壤微生物中含有許多對農業生產有益的菌,在原始土壤、對照組土壤和處理組土壤樣品的試驗結果顯示(圖3),原始土壤、對照組土壤和處理組土壤細菌中分別含有硝酸細菌屬1. 2%、1.6%、2.1%;亞硝酸細菌屬1. 2%、1. 7%、1. 6%;芽孢桿菌屬1. 1%、2.2%、2. 1%;鏈霉菌屬1.7%、2.2%、1. 6%。原始土壤、對照組土壤和處理組土壤中含量在1%以,上的益生菌總量的占比分別為5. 2%、7.7%和7. 4%。

圖3原始組、對照組和處理組土壤中不同菌群所占比例
針對傳統土壤消毒方法存在污染環境、危害作物的問題,對臭氧水應用于溫室土壤消毒的可行性進行研究。以常見土壤消毒劑石灰氮為對照,研究臭氧水質量濃度(ρ(O3))和灌溉周期對溫室土壤(土層厚度0~30 cm)中細菌、真菌、放線菌和線蟲消減率的影響。
結果表明:
1)用臭氧水進行土壤消毒可達深度為15~20 cm的土層,可覆蓋常見溫室園藝作物的根際范圍,預期可減少根際染病;
2)ρ(O3)=5 mg/L的臭氧水3次處理后土壤(0~30 cm)微生物消減率高于ρ(O3)=20 mg/L的臭氧水1次處理的土壤;
3)用ρ(O3)=10~15 mg/L的臭氧水,間隔7 d澆灌土壤,連續澆灌3次,并覆蓋白色ρE農用地膜,可達到很為理想的土壤(0~30 cm)微生物消減效果,以此澆灌制度進行土壤消毒對土壤細菌、真菌、放線菌和線蟲的消減率分別為44. 64% .53. 53%、46.12%和48. 64% ,除線蟲消減率略低于石灰氮對照組以外,臭氧水對土壤細菌、真菌、放線菌的消減率均高于對照組;
4)原始土壤中硝酸菌屬、亞硝酸菌屬、芽孢桿菌屬和鏈霉菌屬所占比例為5.3%,臭氧水處理后增加到7.4%,使土壤中有益微生物所占的比例略微提升。臭氧水應用于溫室土壤消毒可以達到良好的土壤微生物和線蟲的消減效果,且與傳統的化學消毒劑相比不會產生有害副產物,因此可以將臭氧水用于防控設施內土傳病害。